Contoh Soal Bentuk Sederhana 1 Logaritma Tunggal - Rumus Persamaan Eksponen - Puspasari / Contoh soal eksponen kelas 10 dan logaritma berikut soal no.2 (un 2014) bentuk sederhana dari adalah…

Info Populer 2022

Contoh Soal Bentuk Sederhana 1 Logaritma Tunggal - Rumus Persamaan Eksponen - Puspasari / Contoh soal eksponen kelas 10 dan logaritma berikut soal no.2 (un 2014) bentuk sederhana dari adalah…

Contoh Soal Bentuk Sederhana 1 Logaritma Tunggal - Rumus Persamaan Eksponen - Puspasari / Contoh soal eksponen kelas 10 dan logaritma berikut soal no.2 (un 2014) bentuk sederhana dari adalah…
Contoh Soal Bentuk Sederhana 1 Logaritma Tunggal - Rumus Persamaan Eksponen - Puspasari / Contoh soal eksponen kelas 10 dan logaritma berikut soal no.2 (un 2014) bentuk sederhana dari adalah…

Contoh Soal Bentuk Sederhana 1 Logaritma Tunggal - Rumus Persamaan Eksponen - Puspasari / Contoh soal eksponen kelas 10 dan logaritma berikut soal no.2 (un 2014) bentuk sederhana dari adalah…. Di bawah ini terdapat bentuk agar anda lebih paham mengenai rumus turunan fungsi logaritma yang sederhana di atas. Dengan a > 0 dan a ≠ 1. Berikut disajikan sejumlah soal dan pembahasan terkait fungsi logaritma yang dipelajari saat kelas x pada mata pelajaran matematika peminatan. F(x)=p dan a ≠ 0. Kamu dapat download modul & contoh soal serta kumpulan latihan soal lengkap dalam bentuk pdf pada list dibawah ini

Bilangan pokok logaritma dengan a > 0, a  1 b : Contoh soal dan pembahasan bentuk pangkat dan akar. Itulah beberapa contoh soal logaritma matematika yang dapat disampaikan, semoga bermanfaat… Bentuk sederhana fungsi logaritma tersebut dapat berupa y = ᵃlog x, dimana a = basis dan x = numerusnya. Logarima merupakan cabang ilmu matematika yang selalu menarik untuk dibahas.

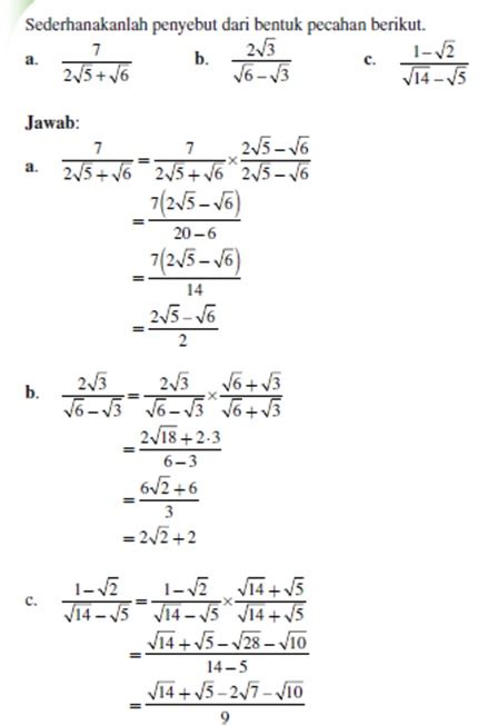
Cara Mengerjakan Bentuk Sederhana Akar - Guru Ilmu Sosial
Cara Mengerjakan Bentuk Sederhana Akar - Guru Ilmu Sosial from s1.studylibid.com
Jadi apabila diketahui ax =b maka x dapat ditentukan dengan logaritma yang berbentuk x = a log b. Sekian ulasan tentang contoh soal bentuk akar, pangkat, dan logaritma untuk level kognitif pengetahuan dan pemahaman. Secara umum logaritma ditulis dengan ac = b ⟺ alog b = c (a > 0, a ≠ 1, b > 0). Bilangan pokok logaritma dengan a > 0, a  1 b : Pelajaran, soal & rumus logaritma. Kamu dapat download modul & contoh soal serta kumpulan latihan soal lengkap dalam bentuk pdf pada list dibawah ini Dari ketiga spltv di atas, variabel yang paling sederhana adalah p sehingga kita akan mengeliminasi p dulu. Contoh soal pilihan ganda persamaan dan pertidaksamaan nilai mutlak linear satu variabel.

Persamaan logaritma adalah persamaan yang peubahnya terdapat dalam bilangan pokok atau numerusnya.

F(x)=p dan a ≠ 0. Kedua bentuk penulisan logaritma tersebut adalah sama. Jika nilai ba = c, maka nilai untuk blog c = a. Contoh soal yang telah kami rangkum ini sering keluar dalam ulangan ataupun ujian nasional, jadi insyaallah sangat bermanfaat untuk siswa pelajari. Berikut disajikan sejumlah soal dan pembahasan terkait fungsi logaritma yang dipelajari saat kelas x pada mata pelajaran matematika peminatan. A disebut bilangan pokok logaritma atau basis, b disebut nilai yang dilogaritmakan dan c adalah hasil dari. Pelajari pengertian sifat rumus persamaan pertidaksamaan tabel contoh soal. Contoh soal dan pembahasan bentuk pangkat dan akar. Contoh soal logaritma sederhana yang dapat dengan mudah dipahami karena disertai dengan penjelasan dalam proses penyelesaian soalnya. Ingat 3 itu sama juga dengan 2log 23. Bilangan pokok logaritma dengan a > 0, a  1 b : Perhatikan bentuk akar pada persamaan di bawah! Jadi apabila diketahui ax =b maka x dapat ditentukan dengan logaritma yang berbentuk x = a log b.

Sekian ulasan tentang contoh soal bentuk akar, pangkat, dan logaritma untuk level kognitif pengetahuan dan pemahaman. Contoh soal eksponen kelas 10 dan logaritma berikut soal no.2 (un 2014) bentuk sederhana dari adalah… Dari ketiga spltv di atas, variabel yang paling sederhana adalah p sehingga kita akan mengeliminasi p dulu. Suatu negara di asia dengan jumlah penduduk 200.000.000 jiwa dengan pertumbuhan penduk 0,5 % per tahun pada tahun 2010. Operasi logaritma merupakan kebaliakan dari operasi perpangkatan untuk y>0, a>0, a ≠ 1, logaritma y dengan basis a ditulis alog y <—> ax = y.

Contoh Soal Pangkat, Akar, dan Logaritma Pilihan Ganda ...
Contoh Soal Pangkat, Akar, dan Logaritma Pilihan Ganda ... from soalkimia.com
Ab = c jika dinyatakan dengan notasi logaritma maka akan menjadi alog c = b. Pelajari ringkasan materi, contoh soal eksponen kelas 10 & logaritma beserta pembahasan & jawaban lengkap dari soal un dan video pembelajaran eksponen versi 2 kelas x. Persamaan logaritma adalah persamaan yang peubahnya terdapat dalam bilangan pokok atau numerusnya. *transformasikanlah bentuk pangkat tersebut dalam bentuk logaritma seperti berikut ini: Jika nilai ba = c, maka nilai untuk blog c = a. Bilangan pokok logaritma dengan a > 0, a  1 b : Jika x = an maka alog x = n, dan sebaliknya jika alog x = n maka x = an. Itulah beberapa contoh soal logaritma matematika yang dapat disampaikan, semoga bermanfaat…

Secara umum logaritma ditulis dengan ac = b ⟺ alog b = c (a > 0, a ≠ 1, b > 0).

Numerus , b > 0 contoh : Ruas kiri bentuknya log, ruas kanan belum bentuk log, ubah dulu ruas kanan agar jadi bentuk log. Sekian ulasan tentang contoh soal bentuk akar, pangkat, dan logaritma untuk level kognitif pengetahuan dan pemahaman. Tentukan nilai dari persamaan logaritma berikut dengan benar P log a =b →a = p b syarat : Suatu negara di asia dengan jumlah penduduk 200.000.000 jiwa dengan pertumbuhan penduk 0,5 % per tahun pada tahun 2010. Penjawab soal matematika gratis menjawab soal pekerjaan rumah aljabar, geometri, trigonometri, kalkulus, dan statistik dengan penjelasan langkah demi prakalkulus contoh. Kedua bentuk penulisan logaritma tersebut adalah sama. Maka bentuk tersebut dapat dituliskan dalam bentuk logaritma menjadi. Contoh soal dan pembahasan bentuk pangkat dan akar. Kamu dapat download modul & contoh soal serta kumpulan latihan soal lengkap dalam bentuk pdf pada list dibawah ini Pelajari pengertian sifat rumus persamaan pertidaksamaan tabel contoh soal. Contoh soal 4 dan penyelesaiannya.

P log a =b →a = p b syarat : A disebut bilangan pokok logaritma atau basis, b disebut nilai yang dilogaritmakan dan c adalah hasil dari. Sebelumnya kita sudah membahas tentang materi tentang logaritma. Contohnya perpangkatan ab=c, maka untuk menghitung nilai c kita dapat menggunakan logaritma seperi di bawah ini Pembahasan dari sifat logaritma berikut:

Contoh Soal Un Bentuk Pangkat Akar Dan Logaritma Dan ...
Contoh Soal Un Bentuk Pangkat Akar Dan Logaritma Dan ... from lh6.googleusercontent.com
Contoh soal yang telah kami rangkum ini sering keluar dalam ulangan ataupun ujian nasional, jadi insyaallah sangat bermanfaat untuk siswa pelajari. Persamaan logaritma adalah persamaan yang peubahnya terdapat dalam bilangan pokok atau numerusnya. Pelajari pengertian sifat rumus persamaan pertidaksamaan tabel contoh soal. Pelajari ringkasan materi, contoh soal eksponen kelas 10 & logaritma beserta pembahasan & jawaban lengkap dari soal un dan video pembelajaran eksponen versi 2 kelas x. Dengan a > 0 dan a ≠ 1. Maka bentuk tersebut dapat dituliskan dalam bentuk logaritma menjadi. Kamu dapat download modul & contoh soal serta kumpulan latihan soal lengkap dalam bentuk pdf pada list dibawah ini Artikel ini berisi contoh soal dan pembahasan cara menentukan himpunan penyelesaian (hp) sistem persamaan linear 3 variabel 1.

Logari logaritma tma suatu suatu bilang bilangan.

Kamu dapat download modul & contoh soal serta kumpulan latihan soal lengkap dalam bentuk pdf pada list dibawah ini *transformasikanlah bentuk pangkat tersebut dalam bentuk logaritma seperti berikut ini: Contoh soal perkalian bilangan berpangkat. Persamaan logaritma adalah persamaan yang peubahnya terdapat dalam bilangan pokok atau numerusnya. Contoh dari logaritma bentuk eksponen antara lian: Pelajari pengertian sifat rumus persamaan pertidaksamaan tabel contoh soal. Berikut disajikan sejumlah soal dan pembahasan terkait fungsi logaritma yang dipelajari saat kelas x pada mata pelajaran matematika peminatan. Itulah beberapa contoh soal logaritma matematika yang dapat disampaikan, semoga bermanfaat… Secara umum logaritma ditulis dengan ac = b ⟺ alog b = c (a > 0, a ≠ 1, b > 0). Operasi logaritma merupakan kebaliakan dari operasi perpangkatan untuk y>0, a>0, a ≠ 1, logaritma y dengan basis a ditulis alog y <—> ax = y. Dan klai ini agar kita semua lebih memhami tentang logaritma kita akan membahas beberapa contoh soal beserta jawabannya. Sebelumnya kita sudah membahas tentang materi tentang logaritma. F(x)=p dan a ≠ 0.

Advertisement

Iklan Sidebar